湖南库课专升本

湖南库课专升本资讯

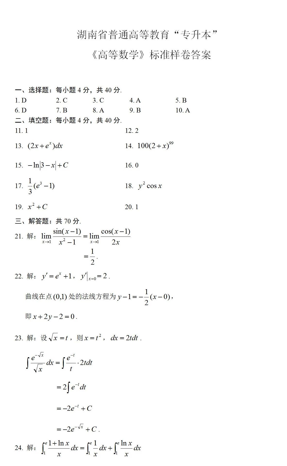
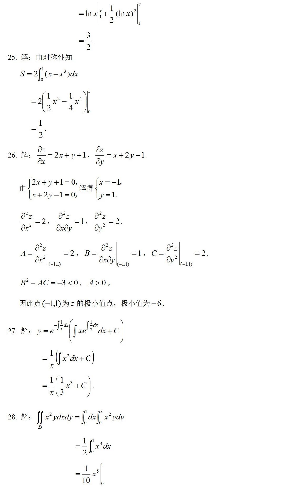
专升本高数|湖南省普通高等教育“专升本”标准样卷

湖南省普通高等教育“专升本”

《高等数学》标准样卷



成为下一届考生

湖南中医药大学校区:岳麓区学士街道四海通达产业园2楼

中南林科大校区:天心区中南林业科技大学韶山南路东门

益阳校区:湖南省益阳市赫山区康富北路2号

Copyright © 2017-2027 湖南库课专升本 版权所有