各位考生:
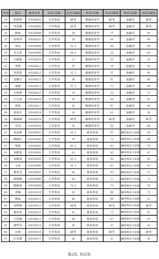
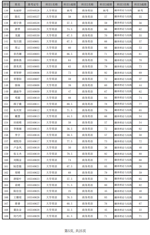
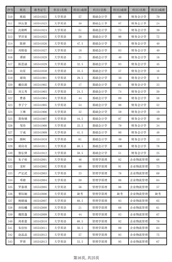
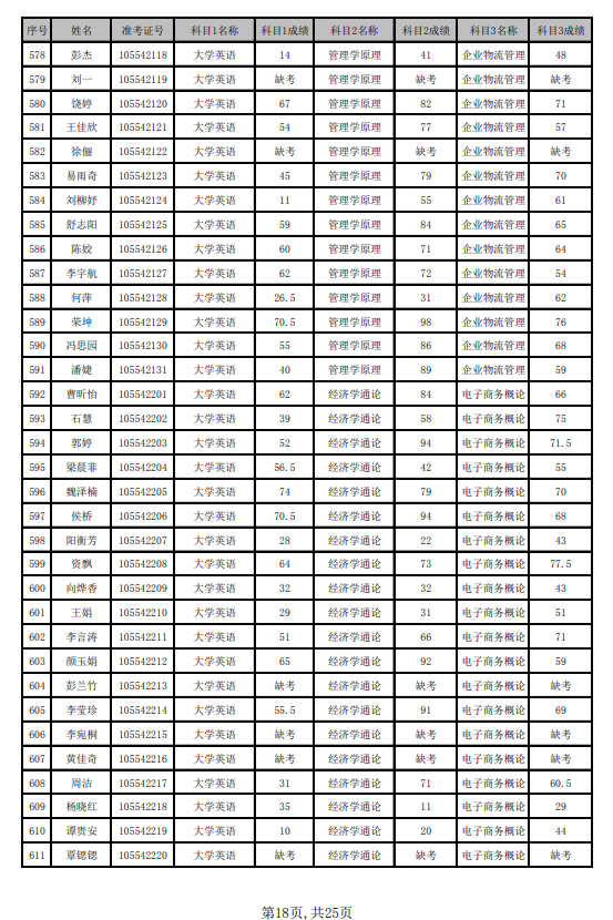
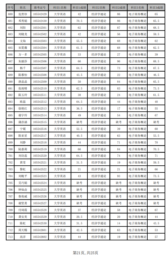
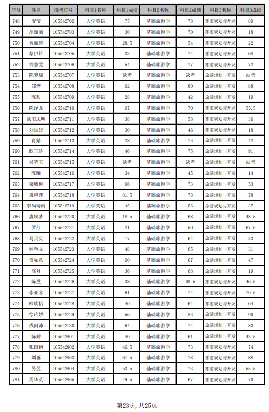
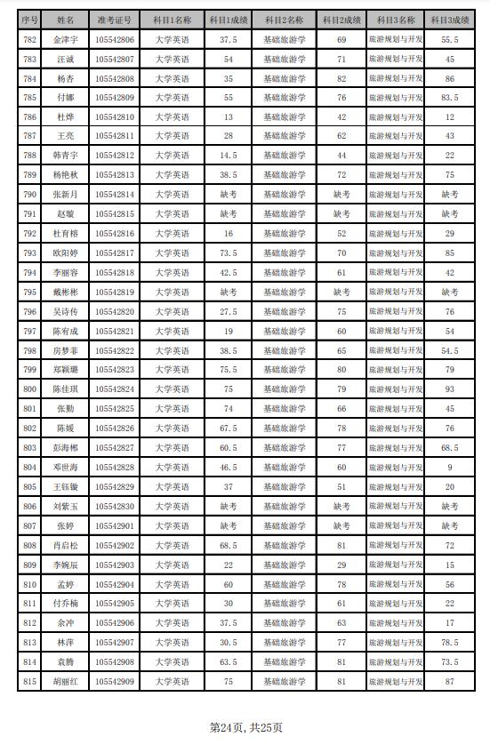
2022年湖南工商大学“专升本”选拔考试(笔试)已经结束,现将考试成绩公示(附件)。公示期为2022年5月15日至5月17日。在公示期内,考生如对成绩有疑问,可以向我校教务处申请查分。我校将按照教育部、国家保密局印发的《教育工作中国家秘密及其密级具体范围的规定》以及湖南省教育厅发布的《关于做好我省2022年普通高等学校专升本考试招生工作的通知》等相关文件要求和规定,组织相关部门和人员对申请查卷考生的试卷卷面总分进行复核,复核结果将在3日内告知学生。
湖南工商大学教务处咨询电话:0731-88689005 王老师
湖南工商大学
2022年5月15日
























*内容来源于:湖南工商大学教务处
扫码关注公众号,免费领取英语四级模拟试卷!

湖南中医药大学校区:岳麓区学士街道四海通达产业园2楼
中南林科大校区:天心区中南林业科技大学韶山南路东门
益阳校区:湖南省益阳市赫山区康富北路2号
Copyright © 2017-2027 湖南库课专升本 版权所有