湖南库课专升本

长沙学院

官方网址:http://www.ccsu.cn

官方电话:0731-84261447

电子邮箱:zsjy@ccsu.cn

院校地址:湖南省长沙市开福区洪山路98号

  • 概况
  • 专业
  • 考纲
  • 资讯
  • 报名
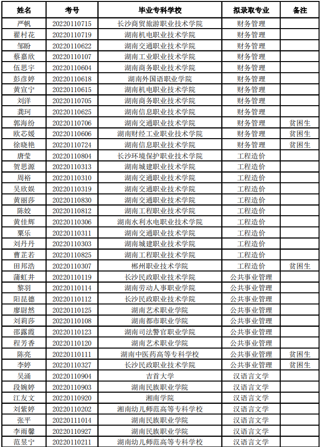
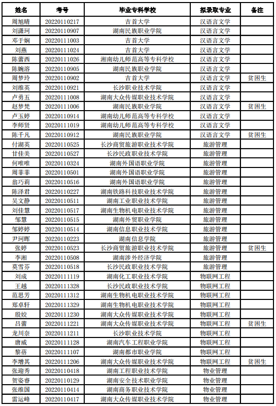
  • 长沙学院2022年专升本非免试生拟录取名单

    image.png

    image.png

    image.png

    成为下一届考生

    湖南中医药大学校区:岳麓区学士街道四海通达产业园2楼

    中南林科大校区:天心区中南林业科技大学韶山南路东门

    益阳校区:湖南省益阳市赫山区康富北路2号

    Copyright © 2017-2027 湖南库课专升本 版权所有